Oxandrolon
Definition
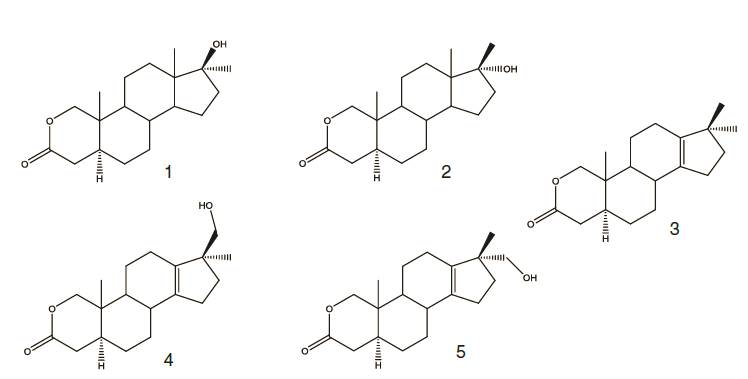
Oxandrolon (Abb.1) ist ein anaboles Steroidhormon, das erstmals 1962 synthetisiert wurde. Es ist ein 17-Methylsteroid und kann oral angewendet werden. Es darf wie alle verbotenen Steroidhormone von Sportlern zu keiner Zeit (auch nicht aus medizinischen Gründen) benutzt werden.

Oxandrolon ist in Deutschland nicht im Verkehr. Es ist aber im Ausland u.a. in den USA unter dem Handelsnamen Oxandrin (2,5 mg pro Tablette) im Handel.
Anwendung
Bei Abmagerung, verzögerter Pubertät und Ullrich-Turner-Syndrom.
 Zur Erhöhung des Körpergewichts nach Operationen, chronischen Infekten und verschiedenen katabolen Krankheitszuständen, die mit Gewichtsverlust einhergehen. Zur Gegenwirkung von Eiweißabbau nach langfristiger Anwendung von Corticosteroiden und zur Minderung von Schmerzen bei Osteoporose, grundsätzlich bei jedem katabolen Zustand. Bei der Anwendung von Oxandrolon sollten gleichzeitig ausreichend Kalorien und Proteine zugeführt werden, um eine positive Stickstoffbilanz zu gewährleisten.
Bei symptomatischem Minderwuchs wird Oxandrolon u.a. in Kombination mit Wachstumshormon angewendet
Dosierung:
 Die therapeutischen Dosierungen liegen bei 2,5-20 mg Oxandrolon pro Tag. Bei der Behandlung von verzögertem Längenwachstum und verzögerter Pubertät bei Jungen werden Dosierungen von 1,25-2,5 mg pro Tag empfohlen.
Nebenwirkungen
Peliosishepatitis, Leberzellkarzinom, Veränderung der Blut-Lipoproteine (Zunahme an lowdensititylipoprotein LDL und Abnahme des high densitiylipoproteins HDL), Übelkeit, Erbrechen, Diarrhoe (Durchfall), Gallenstau bedingte Gelbsucht, Erregung, Schlafstörung, Virilisierung, Akne, Verminderung der Spermienbildung, Gynäkomastie (unnatürliches Brustwachstum beim Mann), Verkleinerung der Hoden, Hirsutismus, Heiserkeit und Vertiefung der Stimme, Klitorisvergrößerung, Abnahme der Serumelektrolyte (Natrium, Chlorid, Kalium, Phosphat, Calcium). Glucoseintoleranz.
Gegenanzeigen
 Prostatakarzinom, Mammakarzinom, degenerative Nierenerkrankungen, Schwangerschaft, Diabetes 
Metabolismus
Im Gegensatz zu vielen anderen 17-Methylsteroiden wird Oxandrolon zum großen Teil unverändert und nicht konjugiert in den Urin ausgeschieden. Die wichtigsten Metaboliten des Oxandrolons sind 17-Epioxandrolon und 16-Hydroxymetaboliten.  
(25.7.2001)
Nachweis von Langzeitmetaboliten (long-term excreted metabolites)
2010 konnte Parr et al. bei einem Spoturin nach einer Applikation von Oxandrolon einen neuen Langzeitmetaboliten identifizieren. 
Parr MK, Fußhöller G, Gütschow M, Hess C, Schänzer W. GC-MS(/MS) investigations on long-term metabolites of 17-methyl steroids In: Schänzer W, Geyer H, Gotzmann A, Mareck U (eds.) Recent advances in doping analysis (18). Sportverlag Strauß, Köln, 2010, 64-73.
Download des Artikel
2013 gelang es Guddat et al. Langzeitmetaboliten von Oxandrolon zu synthetisieren und zu charakterisieren, womit der Nachweis von Oxandrolon bei Dopingkontrollen deutlich verlängert werden konnte.
Guddat S, Fußhöller G, Beuck S, Thomas A, Geyer H, Rydevik A, Bondesson U, Hedeland M, Lagojda A, Schänzer W, Thevis M Synthesis, characterization, and detection of new oxandrolone metabolites as long-term markers in sports drug testing  Anal Bioanal Chem. 2013 Oct;405(25):8285-94.
Abstract des Artikels

(31.10.2018)